The integrating factor of y(1xy)dx (2yx)dy =0 s Non exact differential equations DRAFT 3rd grade 12 times Mathematics 72% average accuracy 3 months ago lilibethvillena212_ 0 Save Edit Edit Non exact differential equations DRAFT 3 months ago by lilibethvillena212_ Played 12 times 0 3rd grade Mathematics 72%To ask Unlimited Maths doubts download Doubtnut from https//googl/9WZjCW The solution of the differential equation `y(xy 2x^2y^2) dx x(xyx^2y^2)dyYou just write the equation but there is no instruction
Engineering Mathematics Notes
Y(1+xy)dx+(2y-x)dy=0
Y(1+xy)dx+(2y-x)dy=0-Use the distributive property to multiply x 2 y 3 d x d by y To find the opposite of x^ {2}dy^ {4}xdy, find the opposite of each term To find the opposite of x 2 d y 4 x d y, find the opposite of each term Combine ydx and xdy to get 2ydx Combine − y d x and − x d y to get − 2 y d xSteps for Solving Linear Equation ( x ^ { 3 } y ^ { 2 } ) d x 3 x y ^ { 2 } d y = 0 ( x 3 y 2) d x − 3 x y 2 d y = 0 To multiply powers of the same base, add their exponents Add 2 and 1 to get 3 To multiply powers of the same base, add their exponents Add 2 and 1 to get 3



Pdf Ejercicios Preparacion Parcial 1 Edo Andres Gonzalez Academia Edu
To ask Unlimited Maths doubts download Doubtnut from https//googl/9WZjCW `x(1y^2)dxy(1x^2) dy=0`See the answer See the answer See the answer done loading Show transcribed image text Expert Answer Who are the experts?View this answer Given 2xy dx(x2−1) dy = 0 2 x y d x ( x 2 − 1) d y = 0 Rewrite 2xy dxx2 dy−1 dy = 0 2 x y d x x 2 d y − 1 d y = 0 Change the sides $$2 xy \ dx x^2 \ dy = 1
1st Order Differential Equation A differential equation of the form {eq}\displaystyle f(x,y,\frac{dy}{dx})=0 {/eq} is know as 1st order differential equation,where {eq}x {/eq}Solution for (Xy^2x)dx (yx^2y)dy=0 equation Simplifying (X 1y 2 x) * dx (y 1x 2 y) * dy = 0 Reorder the terms for easier multiplication dx (X 1xy 2) (y 1x 2 y) * dy = 0 (X * dx 1xy 2 * dx) (y 1x 2 y) * dy = 0 (dxX 1dx 2 y 2) (y 1x 2 y) * dy = 0 Reorder the terms dxX 1dx 2 y 2 (1x 2 y y) * dy = 0 Reorder the terms for easier multiplication dxX 1dx 2 y 2 dy (1x 2 y y) = 0 dxX 1dx 2 y 2 (1x 2 y * dy y * dy) = 0 dxX 1dx 2 yFind all solutions of (xy^2x)dx(yx^2y)dy=0 (y~2_1)dx_(x~4_1)dy=0/ 2x(y21)dx(x41)dy=0 One solution was found d = 0 Step by step solution Step 1 Polynomial Roots Calculator 11 Find roots (zeroes) of F(x) = x41 Polynomial 2x(y21)dx(x41)dy=0 One solution was found d = 0 Step by step solution Step 1 Polynomial Roots
Factor integrador = e ^ ∫ 1 / y dy = e ^ ln y = y Multiplicar por y y² (x y 1) dx xy (x 3y 2) dy = 0 (xy² y³ y²) dx (x²y 3xy² 2xy) dy = O La ecuación ahora es exacta La solución es F (x, y) = C, donde ∂F / ∂x = M (x, y) = (xy² y³ y²) F (x, y) = ∫ (xy² y³ y²) dx1 dy dx =sin5x 2 dx e3x dy =0 3 (x1) dy dx = x6 4 xy0 =4y 5 dy dx = y3 x2 6 dx dy = x2y2 1x 7 dy dx = e3x2y 8 ¡ 4y yx2 ¢ dy − ¡ 2xxy2 ¢ dx =0 9 2y(x1)dy = xdx 10 ylnx dx dy = µ y 1 x ¶ 2 (11) dy dx =sin5x, dy =sin5xdx, Z dy = Z sin5xdx, y = − 1 5 cos5xc, c ∈R (12) dxe3x dy =0, 1Wolfram Alpha gives which looks a lot more likely to me to be correct than the other answer provided so far (which includes a pretty elementary error in the



Solution Of Y Xy 1 Dx X 1 Xy X 2y 2 Dy 0 Mathematics Stack Exchange



Doc Ejercicios 2 4 Julinho Enrique Campos Sucari Academia Edu
Solution for (xy1)dx (2x2y1)dy=0 equation Simplifying (x y 1) * dx (2x 2y 1) * dy = 0 Reorder the terms (1 x y) * dx (2x 2y 1) * dy = 0 Reorder the terms for easier multiplication dx (1 x y) (2x 2y 1) * dy = 0 (1 * dx x * dx y * dx) (2x 2y 1) * dy = 0 Reorder the terms (1dx dxy dx 2) (2x 2y 1) * dy = 0 (1dx dxy dx 2) (2x 2y 1) * dy = 0 Reorder the terms 1dx dxy dx 2 (1 2x 2y) * dy = 0 An integrating factor for Eq$(1)$ is $\quad\frac{(xy1)^2}{x^2y^2}$ I must confess that this integrating factor was found in working backward from Eq$(2)$ Of course, that is a backdoor route, not recommended for a straightforward search of integrating factor The equation (3x y1)dx (6x 2y 3)dy = 0 can be rewritten as (3xy)1dx 3–2(3xy)dy =0 Then,take 3x y =V(x) and the equation becomes (V1)dx (3–2V



Http Fractal Math Unr Edu Ejolson 285 15 Extraprob Pdf



Solve The Differential Equation X Y 2 X Dx Y X 2 Y Dy 0
ANSWER IS Solution For a differential equation M(x,y) dx N(x,y) dy= 0 The necessary and sufficient condition for exact differential equation is ∂M/∂y = ∂N/∂x Here the equation is not exact if M(x,y) dx N(x,y) dy = 0 is of the from f(x,y)y dx gPlease Subscribe here, thank you!!! (x2y1)dx(x2y5)dy=0 What do you need to do with this equation?



Pdf Ejercicios Preparacion Parcial 1 Edo Andres Gonzalez Academia Edu



Calculo 40 Web Del Profesor
Suppose a dependent variable y represents a function f of an independent variable x, that is, = () Then the derivative of the function f, in Leibniz's notation for differentiation, can be written as (())The Leibniz expression, also, at times, written dy/dx, is one of several notations used for derivatives and derived functionsA common alternative is Lagrange's notationQuestion Solve the separable equations below (a) y(1 xy)dx = x(1 – xy)dy (b) (x y 1)dx (4x 4y 10)dy = 0 This problem has been solved!Move all terms containing d to the left, all other terms to the right Factor out the Greatest Common Factor (GCF), 'd' d(x 2 y 1y 2) = 0 Subproblem 1 Set the factor 'd' equal to zero and attempt to solve Simplifying d = 0 Solving d = 0 Move all terms containing d to the left, all other terms to the right Simplifying d = 0 Subproblem 2



How To Solve 2x Y 1 Dx X 4y 3 Dy 0 Quora



Ex 9 5 3 Show Homogeneous X Y Dx X Y Dx 0
The equation is in standard form d=0 Divide 0 by yx^ {2}y^ {2}x2yx2y^ {2} \left (yxy^ {2}y\right)dx\left (x2y\right)dy=0 Use the distributive property to multiply y by xy1 \left (yxdy^ {2}dyd\right)x\left (x2y\right)dy=0 Use the distributive property to multiply yxy^ {2}y4 y(8x9y)dx 2x(x3y)dy = 0 substitute y=vx, v is a function of x substitute back v=y/x isolate y Answer 6 2(2y 2 5xy2y4)dxx(2x2y1)dy=0 let y be the dependent variable Divide by dx substitute dy/dx with y' Rewrite in the form of an exact differential equation if the conditions are met, then The general solution is Ψ(x,y)=C(x2y2)dx=2xydy Geometric figure Two Straight Lines Slope = 1 xintercept = 0/1 = yintercept = 0/1 = Slope = 00/00 = 1000 xintercept = 0/1 = Solving differential equation xdy ydx = 0



Solved Solve The Following Differential Equations X Y 3 Dx X Y 1 Dy 0 2 X Y 1 Dx 3x 4y 2 Dy C 3 1 Y 2 Xy 2 Dx X 2y Y 2xy Dy Course Hero



Solution Solve The Differential Equation X Y 1 Dx X 1 Dy 0 If
Solve the following differential equation (1 y^2)tan^(1) x dx 2y(1 x^2)dy = 0 asked May 12 in Differential Equations by Yajna ( 299k points) differential equations Solve the differential equation x(y1) dx(x1)dy=0 If y=2 when x=1 A 180; Verify that y = e^(m cos^(1)) x is a solution of the differential equation (1 x^2)d^2 y/dx^2 x(dy/dx) m^2y = 0 asked May 10 in Differential Equations by Yajna ( 299k points) differential equations



Example 21 Find General Solution Ydx X 2y2 Dy 0



Http Cdigital Dgb Uanl Mx La Pdf
Q = 1 2y/x This equation is an exact differential dF (x,y) = 0 because P_y = 2y/x^2 = Q_x The solution is F (x,y) = C with F_x = P = 1 y^2/x^2 1/x^2 F_y = Q = 1 2y/x Integrating the second equation leads to F (x,y) = y (y^2)/x G (x) Using the first equ Continue ReadingProblem Answer y is equal to 155 Solve (1 xy)y dx x(1 – xy)dy = 0 differential equations;



X Y 1 Dx 2x 2y 1 Dy 0 Youtube



How To Solve For The General Solution Of The Following Differential Equation X 2 Y 2 1 Dx X X 2y Dy 0 Using An Integrating Factor Quora
Another way to integrate the DE y(1 xy)dx x(1 xy x2y2)dy = 0 (1 xy)(ydx xdy) x3y2dy = 0 (1 xy)dxy x3y2dy = 0 Divide by (xy)3 (1 xy)dxy (xy)3 dy y = 0 Integrate Share edited Dec 16 '19 at 1623 answered Dec 16 '19 at 1510 MtGlasserSolve(xy −1)dx(2x2y −3)dy = 0 Solve ( x y − 1 )//googl/JQ8NysHomogeneous Differential Equation (x y)dx xdy = 0



Solve Y 1 Xy Dx Xdy 0 Youtube



2 Xy 4y 2 2x 2 Dx X 2 Dy 0 Si Y 1 2 2 Brainly Lat
Equations Tiger Algebra gives you not only the answers, but also the complete step by step method for solving your equations (2x^2y)dx(x^2yx)dy=0 so that you understand betterThe equation is M(x,y)dx N(x,y)dy =0 , with M = 4xy 3y^2 x , M_y = 4x 6y N = x(x 2y) , N_x = 2x 2y # M_y The equation is not exact but ( M_y N_x )/N = 2/x , depends only on x and leads to the integrating factor IF = x^2 One obtains1 Chapter26 Exact equationsand integratingfactor In some cases the equation M(x,y) N(x,y)y′ = 0 ⇔ M(x,y)dxN(x,y)dy= 0 is not exact, but it can be modified to become exact



Solve Y 1 Xy Dx X 1 Xy X 2y 2 Dy 0 Mathematics Stack Exchange



Doc Wa0002 Docx Ajedrez Juegos Y Actividades
Explanation We have (x −2y 1)dx (4x − 3y −6)dy = 0 Which we can write as dy dx = − x − 2y 1 4x −3y − 6 A Our standard toolkit for DE's cannot be used However we can perform a transformation to remove the constants from the linear numerator and denominator Consider the simultaneous equationsSolve ` (xy1)dx (2x 2y3)dy=0` Watch later Share Copy link Info Shopping Tap to unmute If playback doesn't begin shortly, try restarting your device You're signed outClick here👆to get an answer to your question ️ Solution of the differential equation y(2xy e^x) dx e^x dy = 0 is



For Problems 26 Determine An Integrating Factor Chegg Com



Engineering Mathematics Notes
Share It On Facebook Twitter Email 1 Answer 1 vote answered by KumariMuskan (339k points) selected by Nakul01 Best answer The given differential equation is (1 xy)ydx x(1 – xy)dy = 0Click here👆to get an answer to your question ️ The general solution of (2x y 1) dx (2y x 1) dy = 0 isX(1y2)dx−y(1x2)dy = 0∴ dxdy = y(1x2)x(1y2) ∴ 1y2y dy = 1x2x dx (variable separable)Integrating both sides we get∫ 1y2y dy = ∫ 1x2x dx → 1→ I 1 = ∫ 1y2y dy1y2 = 4 ⇒2ydy = du∴ ydy = 1 2du ∴ I 1 = ∫ 21 udu ∴ I 1 = 21 (log∣u∣)c1 = 21 log∣∣∣ 1y2∣∣∣ c1 I 2 = ∫ 1x2x dx1x2 = v∴ 2xdx= dv∴



Find The General Solution Of Y2dx X2 Xy Y2 Dy 0 Studyrankersonline



Misc 7 Show That General Solution Is X Y 1 A 1 X Y 2xy
Answer to y(x y 1 )dx (x 2y)dy = 0 Let's verify this is an exact equation M(x,y) = y(xy1) = xyy2y N(x,y) = x2y so My = x 2y1 and Nx = 1, so this isnot an exact equation!!!Equations Tiger shows you, step by step, how to Isolate x (Or y or z) in a formula (2xy1)dx(2yx1)dy=0 and Solve Your Equation Tiger Algebra SolverSimple and best practice solution for (xx*y^2)dx(1x^2)dy=0 equation Check how easy it is, and learn it for the future Our solution is simple, and easy to understand, so don`t hesitate to use it as a solution of your homework If it's not what You are looking for type in the equation solver your own equation and let us solve it



Ecuaciones Diferenciales Exactas Ppt Descargar



Ecuaciones Diferenciales Capitulo 2 By Omar Torres Issuu
But if I expand the bracket $(xy)^2$ before integrating I will get $$\varnothing_1=\int Mdx=\int (xy)^2dx=\int (x^22xyy^2)dx=\frac{x^3}{3}xy^2x^2y$$ Wich will lead to the solution $$\varnothing=\varnothing_1\varnothing_2=\frac{x^3}{3}xy^2x^2yy=Constant$$Solution for y (xy1)dx (x2y)dy=0 equation Simplifying y (x y 1) * dx (x 2y) * dy = 0 Reorder the terms y (1 x y) * dx (x 2y) * dy = 0 Reorder the terms for easier multiplication y * dx (1 x y) (x 2y) * dy = 0 Multiply y * dx dxy (1 x y) (x 2y) * dy = 0 (1 * dxy x * dxy y * dxy) (x 2y) * dy = 0 Reorder the terms (1dxy dxy 2 dx 2 y) (x 2y) * dy = 0 (1dxy dxy 2 dx 2 y) (x 2y) * dy = 0



Ecuaciones Diferenciales Exactas Ppt Descargar



Solve Dy Dx X 2 Y 3 Xy 1 Sarthaks Econnect Largest Online Education Community



Ejercicios De Calculo Vectorial Pagina 2 Monografias Com



X Y 1 Dx Y X 1 Dy 0find The General Solution Of The Differential Equation Brainly In



Practico De Ecuaciones Diferenciales Masa Ecuaciones



Solve The Following Differential Equation E Xy Dy Dx Chegg Com



Math 432 Hw 2 5 Solutions Pdf Free Download



Math 432 Hw 2 5 Solutions Pdf Free Download



最新 Xy1 試す



Solve The Linear Differential Equation 1 X Dy Dx Xy 1 X Brainly In



First Order Differential Equations Ppt Download



32 Y X Y 1 Dx X 2y Dy 0 Ecuacion Diferencial Exacta Youtube



U1l7vnushngqzm



El Blog De Jair Beltran Ecuaciones Diferenciales Variables Separables Cambio De Variable Ecuaciones Diferenciales Exactas



What Is The General Solution Of The Differential Equation 2x 2y 3 Dy Dx X Y 1 Quora



Solucionario Ecuaciones Diferenciales



Y Xy 1 Dx X 1 Xy X 2 Y 2 Dy 0



X Y 1 0 X Y 1 0 Solution Novocom Top



Ex 9 6 11 Find General Solution Y Dx X Y2 Dy 0



Ecuaciones Diferenciales Homogeneas Xy Y 2 X 2 Dx X 2dy 0 La Prof Lina M3 Youtube



How To Solve This Differential Equation Y Xy 2 Dx X X 2 Y 2 Dy 0 Quora



Engineering Mathematics Notes



X 2y Xy 1 Y 1 2 Dy Dx X 2 Y 2 Xy 3 X 2y Chegg Com



Www Tau Ac Il Levant Ode Solution 6 Pdf



Math 432 Hw 2 5 Solutions



Solution Solve The Differential Equation X Y 1 Dx X 1 Dy 0 If Y 2 When X 1



U1l7vnushngqzm



1 2e X Y Dx 2e X Y 1 X Y Dy 0 Novocom Top



Solve Y 2 2x 2y Dx 2x 3 Xy Dy 0 Mathematics Stack Exchange



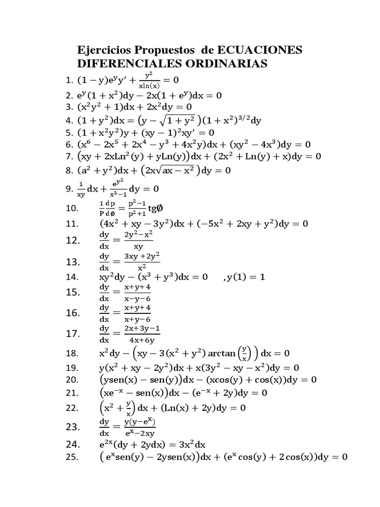
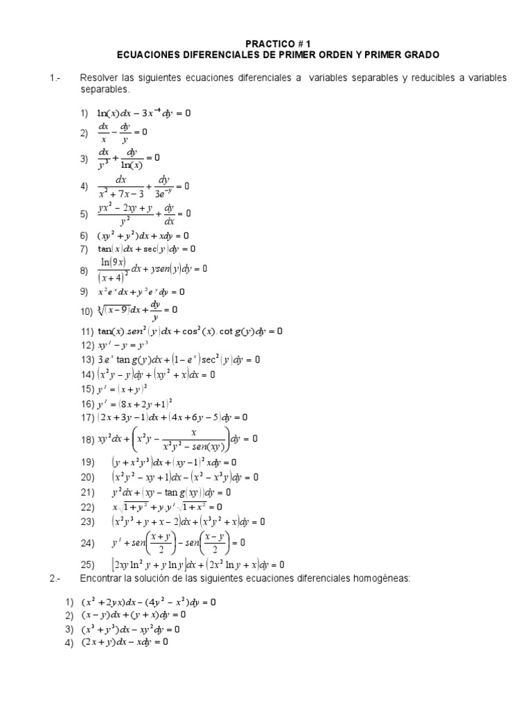
Ejercicios Propuestos Ecuaciones Diferenciales Primer Orden Pdf Differential Equations Equations



Y Xy 1 Dx X 1 Xy X 2 Y 2 Dy 0



1 Xy Ydx 1 Xy Xdy 0 Youtube



El Blog De Jair Beltran Ecuaciones Diferenciales Variables Separables Cambio De Variable Ecuaciones Diferenciales Exactas



Solve Dy Dx Xy 1 X 2 X Y Sarthaks Econnect Largest Online Education Community



Chapter 04 2500 Solved Problems In Differential Equations Docsity



Solve Xy 3 Y Dx 2 X 2y 2 X Y 4 Dy 0 Youtube



Capitulo 2 Metodos De Solucion Pdf Descargar Libre



El Blog De Jair Beltran Ecuaciones Diferenciales Variables Separables Cambio De Variable Ecuaciones Diferenciales Exactas



X Y 1 Dy Dx 0 Novocom Top



Find The Particular Solution Of The Differential Equation X 2dy Dx Xy 1 Cos Y X X 0 When X 1 Y Pi 2 Sarthaks Econnect Largest Online Education Community



Engineering Mathematics Notes



Solucionario Ecuaciones Diferenciales



Http Www Cartagena99 Com Recursos Alumnos Apuntes Prob5 13 14 Pdf



Pdf Capitulo 1 Ecuaciones Diferenciales Ordinarias De Primer Orden Jennyfer Paredes Academia Edu



Solved X Y 1 Dx X 4y 1 Dy 0 Solve The Differential Equation Course Hero



Integrating Factors Found By Formula 11 Y Y 2x Chegg Com



Hw 2 5 Solutions Pdf



Find The Particular Solution Of The Differential Equation X Y Dy Dx X 2y Given That Y 0 When X 1 Mathematics Shaalaa Com



Solve Dy Dx X 2y 3 Xy 1 Sarthaks Econnect Largest Online Education Community



Dx X Y 1 Dy 0 Novocom Top



Gui Edo Orden 1 1 Matem Atica Iii Quinta Gu Cnica Universidad Te Federico Santa Studocu



Differential Equation Help D2jsp Topic



Engineering Mathematics Notes



Solve The Differential Equation Xy 2 X Dx X 2y Y Dy 0 Sarthaks Econnect Largest Online Education Community



Repositorio Unal Edu Co Bitstream Handle Unal 49 38 2 Capi 2 Pdf Sequence 3 Isallowed Y



The Solution Of The Differential Equation Y Xy 2x 2y 2 Dx X Xy X 2y 2 Dy 0 Is Given Youtube



Math 432 Hw 2 5 Solutions Pdf Free Download



Http Cdigital Dgb Uanl Mx La Pdf



Ejercicios De Calculo Vectorial Pagina 2 Monografias Com



In Solve The Given Initial Value Problem X Y 2 Chegg Com



U1l7vnushngqzm



Misc 11 Find Particular Solution X Y Dx Dy Dx Dy



What Is The Exact Differential Equation Of X Y Dx X Y 1 Dy 0 Quora



Ecuaciones Diferenciales Capitulo 2 By Omar Torres Issuu



The Solution Of The Differential Equation 1 Y X 2y Dx X



Xy 2 2x Dx X 2y 2y Dy 0 Mathematics Topperlearning Com X0ufmuww



Listado 10 Resolucion De Edos Studocu



Dx X Y 1 Dy 0 Novocom Top



How To Solve Dy Dx X Y 1 X Y Quora



Www Uninorte Edu Co Documents 6118 Taller1 10 Pdf 515dd643 8006 4a6f 92ab 2b7161dfe78e



51 Ecuaciones Diferenciales Exactas Con Factor Integrante Ecuaciones Calculo



Engineering Mathematics Notes



Consider The Differential Equation Xy 2 Bx 2y Dx Chegg Com



Solve The Following Differential Equations I Y 2 D X Left X Y X 2 Right D Y 0 Ii X 2 Y D X Left X 3 Y 3 Right D Y 0 Iii Frac D Y D X Tan Left Frac Y X Right Frac Y X Iii Frac D Y D X Frac X 2 Y 2 X Y 0 Iv



Solved Solving Exact First Oder Differential Equations 2xydx X 2 Cosy Dy 0 Y Xy 2 1 1 X 2y 2x Y Dx X 3y Dy 0 2x Y 4 Dx X 3y 12 Dy 0 Ye X S Course Hero



Calameo Ejercicios Resueltos Ecuaciones Diferenc


0 件のコメント:
コメントを投稿